Sample Letter Of Intent For Student Visa Application Canada

What Kind Of Letter Of Explanation Must I Include With My Study Permit Application Youtube

What Kind Of Letter Of Explanation Must I Include With My Study Permit Application Youtube

How To Apply For A Spouse Partner Work Permit From Within Canada Student Services

How To Apply For A Spouse Partner Work Permit From Within Canada Student Services

How To Easily Apply For Australian Visa Online For Tourists

How To Easily Apply For Australian Visa Online For Tourists

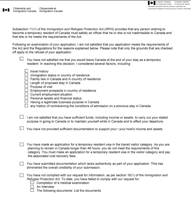
Ircc Application Refusal Example Of Internal Reasons For Study Permit Refusal Steven Meurrens

Ircc Application Refusal Example Of Internal Reasons For Study Permit Refusal Steven Meurrens

Sop For Canada Universities How To Write Gyandhan

Sop For Canada Universities How To Write Gyandhan

Visa Statement Of Purpose Canada Australia New Zealand

Visa Statement Of Purpose Canada Australia New Zealand

Canada Visitor Visa Refused Aug 02 2018 Canada Immigration Forum

Canada Visitor Visa Refused Aug 02 2018 Canada Immigration Forum

Statement Of Purpose Sample Copy International Student Tourism

Statement Of Purpose Sample Copy International Student Tourism

Letter Of Intent To Return To School Sample

Letter Of Intent To Return To School Sample

Statement Of Purpose Student Pinoy Australia Information Forum

Statement Of Purpose Student Pinoy Australia Information Forum

Sop For Student Visa Applications Computer Science University And College Admission

Sop For Student Visa Applications Computer Science University And College Admission

4 Ways To Write A Letter Of Intent Wikihow

4 Ways To Write A Letter Of Intent Wikihow

Visa Statement Of Purpose Canada Australia New Zealand

Visa Statement Of Purpose Canada Australia New Zealand

Cover Letter Sample For Canadian Visa

Cover Letter Sample For Canadian Visa

Sample Statement Of Purpose For Canadian Student Visa Essay Writing Skills Writing Services Scholarship Essay Examples

Sample Statement Of Purpose For Canadian Student Visa Essay Writing Skills Writing Services Scholarship Essay Examples

How To Write A Cover Letter For Visa Youtube

How To Write A Cover Letter For Visa Youtube

Https Encrypted Tbn0 Gstatic Com Images Q Tbn And9gcqpcxthgpht6gwni Smhzxkrikp Vkwkj4x1c Q Tdcqbmnmzip Usqp Cau

Https Encrypted Tbn0 Gstatic Com Images Q Tbn And9gcqpcxthgpht6gwni Smhzxkrikp Vkwkj4x1c Q Tdcqbmnmzip Usqp Cau

36 Free Immigration Letters Character Reference Letters For Immigration

36 Free Immigration Letters Character Reference Letters For Immigration

Options For Foreign Students In Canada Work Permit And Immigration

Options For Foreign Students In Canada Work Permit And Immigration

Sample Appeal Letter For Schengen Visa Refusal Business Letter Format Lettering Letter Sample

Sample Appeal Letter For Schengen Visa Refusal Business Letter Format Lettering Letter Sample

Sample Wedding Invitations Letter To Friends Sponsorship Letter Support Letter Letter Sample

Sample Wedding Invitations Letter To Friends Sponsorship Letter Support Letter Letter Sample

Authorization To Return To Canada Arc A Deep Dive Welcome To Vancouver S Immigration Blog

Authorization To Return To Canada Arc A Deep Dive Welcome To Vancouver S Immigration Blog

Everything You Need To Know About Canada Visa

Everything You Need To Know About Canada Visa

Cover Letter Sample For Student Visa Help With My Homework Proxy 1650 1275px Visa Application Letter Cover Letter Sample Letter Sample Writing A Cover Letter

Cover Letter Sample For Student Visa Help With My Homework Proxy 1650 1275px Visa Application Letter Cover Letter Sample Letter Sample Writing A Cover Letter

Letter Of Intent Canada Student Visa Shouldirefinancemyhome

Letter Of Intent Canada Student Visa Shouldirefinancemyhome

What To Do When Your Canadian Visa Application Is Rejected Canadian Immigration Podcast

What To Do When Your Canadian Visa Application Is Rejected Canadian Immigration Podcast

Http International Nscc Ca Wp Content Uploads 2019 04 2019 Nscc Guide Letter Of Explanation Pdf

Http International Nscc Ca Wp Content Uploads 2019 04 2019 Nscc Guide Letter Of Explanation Pdf

Sop Writing Services Professional Sop Writers For Admission Visa Extension

Sop Writing Services Professional Sop Writers For Admission Visa Extension

Iec Canada 2021 Working Holiday Program Moving2canada

Iec Canada 2021 Working Holiday Program Moving2canada

Leadership And Management Sop Sample Pdf To The Student Visa Officer Department Of Home Affairs New South Wales Australia Subject Statement Of Purpose Course Hero

Leadership And Management Sop Sample Pdf To The Student Visa Officer Department Of Home Affairs New South Wales Australia Subject Statement Of Purpose Course Hero

Visa Statement Of Purpose Canada Australia New Zealand

Visa Statement Of Purpose Canada Australia New Zealand

Cv Format For Student Visa Application

Cv Format For Student Visa Application

Sample Statement Of Purpose For Student Visa Application That Will Show Y Personal Statement Examples Scholarship Essay Examples Personal Statement Grad School

Sample Statement Of Purpose For Student Visa Application That Will Show Y Personal Statement Examples Scholarship Essay Examples Personal Statement Grad School

Visa Statement Of Purpose Canada Australia New Zealand Visa Visa Canada Statement

Visa Statement Of Purpose Canada Australia New Zealand Visa Visa Canada Statement

Options For Foreign Students In Canada Work Permit And Immigration

Options For Foreign Students In Canada Work Permit And Immigration

How To Write A Visa Cover Letter Student Long Stay Youtube

How To Write A Visa Cover Letter Student Long Stay Youtube

Free Covering Letter For Visa Application Visa Reservation

Free Covering Letter For Visa Application Visa Reservation

Sample Letter Of Intent Russian Visa Sample Web T

Sample Letter Of Intent Russian Visa Sample Web T

Visa Statement Of Purpose Canada Australia New Zealand

Visa Statement Of Purpose Canada Australia New Zealand

Get Your Hands On A Brilliant Sample Sop For Canada Student Visa On This Site Need Healthcare Management Healthcare Administration Health Services Management

Get Your Hands On A Brilliant Sample Sop For Canada Student Visa On This Site Need Healthcare Management Healthcare Administration Health Services Management

Personal Covering Letter Guide And Samples For Visa Application Process

Personal Covering Letter Guide And Samples For Visa Application Process

How To Apply Canada Visitor Visa With Sample Travel Itinerary Canada

How To Apply Canada Visitor Visa With Sample Travel Itinerary Canada

Canada Student Visa Statement Of Purpose Guidelines

Canada Student Visa Statement Of Purpose Guidelines

Statement Of Purpose For Applying For Study Visa In Canada Canada Us Australia Uk Immigration Study Visa Travel Visa Business Visa Settlement Services

Statement Of Purpose For Applying For Study Visa In Canada Canada Us Australia Uk Immigration Study Visa Travel Visa Business Visa Settlement Services

How Do I Attain A Successful Student Visa For Canada

How Do I Attain A Successful Student Visa For Canada

Pin By Emmanuella Dimgba On Letter Of Intent In 2020 Sponsorship Letter Application Cover Letter Lettering

Pin By Emmanuella Dimgba On Letter Of Intent In 2020 Sponsorship Letter Application Cover Letter Lettering

Cover Letter Samples Templates Examples Vault Com

Cover Letter Samples Templates Examples Vault Com

Application Forms For Study Permit In Canada

Application Forms For Study Permit In Canada

Controller Of Immigration Pr Letter Fill Out And Sign Printable Pdf Template Signnow

Controller Of Immigration Pr Letter Fill Out And Sign Printable Pdf Template Signnow

Your Checklist For A Canadian Visa Purpose Of Travel Letter Purpose Of Travel Lettering Canada Travel

Your Checklist For A Canadian Visa Purpose Of Travel Letter Purpose Of Travel Lettering Canada Travel

Statement Of Purpose For Canada Study Permit Free Essay Example

Statement Of Purpose For Canada Study Permit Free Essay Example

What To Do When Your Canadian Visa Application Is Rejected Canadian Immigration Podcast

What To Do When Your Canadian Visa Application Is Rejected Canadian Immigration Podcast

Writing Nursing School Statement Of Purpose Sop Samples

Writing Nursing School Statement Of Purpose Sop Samples

Visa Statement Of Purpose Canada Australia New Zealand Statement University Admissions Visa

Visa Statement Of Purpose Canada Australia New Zealand Statement University Admissions Visa

How To Write An Invitation Letter For Business Visa Careergigo

How To Write An Invitation Letter For Business Visa Careergigo

My Personal Student Visa Sop Example Approved Like A Boss

My Personal Student Visa Sop Example Approved Like A Boss

Ultimate Guide To No Objection Letter For Tourist Visa Visa Reservation

Ultimate Guide To No Objection Letter For Tourist Visa Visa Reservation

How To Apply Canada Visitor Visa With Sample Travel Itinerary Canada

How To Apply Canada Visitor Visa With Sample Travel Itinerary Canada

Letter Of Intent Canada Study Permit Shouldirefinancemyhome

Letter Of Intent Canada Study Permit Shouldirefinancemyhome

1

1

1

1

Sample Statement Of Purpose For Canadian Student Visa

Sample Statement Of Purpose For Canadian Student Visa

Sop Writing Services Professional Sop Writers For Admission Visa Extension

Sop Writing Services Professional Sop Writers For Admission Visa Extension

Canadians Call For Faster Family Reunification Canada Immigration News

Canadians Call For Faster Family Reunification Canada Immigration News

How Much Do You Need In Your Bank Statement To Gain A Study Permit In Canada Quora

How Much Do You Need In Your Bank Statement To Gain A Study Permit In Canada Quora

Sample Statement Of Purpose For Mba In International Business Is Right Here For You Http Www Statementofpurpo Mba Scholarship Essay Examples Business Studies

Sample Statement Of Purpose For Mba In International Business Is Right Here For You Http Www Statementofpurpo Mba Scholarship Essay Examples Business Studies

Everything You Need To Know About Canada Visa

Everything You Need To Know About Canada Visa

Student Visa Letter Of Introduction Canada Immigration Forum

Student Visa Letter Of Introduction Canada Immigration Forum

What Is The Purpose And The Format Of A Reference Letter To Apply For A Canada Pr After Getting The Invitation Quora

What Is The Purpose And The Format Of A Reference Letter To Apply For A Canada Pr After Getting The Invitation Quora

Sample Sop International Student Tourism

Sample Sop International Student Tourism

What To Do When Your Canadian Visa Application Is Rejected Canadian Immigration Podcast

What To Do When Your Canadian Visa Application Is Rejected Canadian Immigration Podcast

Tourist Visa Application Letter Sample Visa Letter Sample

Tourist Visa Application Letter Sample Visa Letter Sample

What To Do When Your Canadian Visa Application Is Rejected Canadian Immigration Podcast

What To Do When Your Canadian Visa Application Is Rejected Canadian Immigration Podcast

International Couples Face Immigration Processing Delays Canada Immigration News

International Couples Face Immigration Processing Delays Canada Immigration News

Http Www Cba Org Cba Cle Pdf Imm10 Okunnachoff Paper Pdf

Http Www Cba Org Cba Cle Pdf Imm10 Okunnachoff Paper Pdf

Personal Covering Letter Guide And Samples For Visa Application Process

Personal Covering Letter Guide And Samples For Visa Application Process

12 Immigration Reference Letter Templates Word Pdf Apple Pages Google Docs Free Premium Templates

12 Immigration Reference Letter Templates Word Pdf Apple Pages Google Docs Free Premium Templates

Canada Visa Requirements For Indians Canada Tourist Lettering Application Letter Sample

Canada Visa Requirements For Indians Canada Tourist Lettering Application Letter Sample

Visa Requirements To Study In Canada Idp Bangladesh

Visa Requirements To Study In Canada Idp Bangladesh

Tips On Reapplication Of Study Permit In Canada

Tips On Reapplication Of Study Permit In Canada

10 Invitation Letter Ideas Lettering Visit Canada Reference Letter

10 Invitation Letter Ideas Lettering Visit Canada Reference Letter

Professional Mba Statement Of Purpose Sample Online Writing

Professional Mba Statement Of Purpose Sample Online Writing

How To Write A Purpose Of Travel Letter For A Visitors Visa To Canada Quora

How To Write A Purpose Of Travel Letter For A Visitors Visa To Canada Quora

Https Www Canada Ca Content Dam Ircc Migration Ircc English Pdf Eta English Pdf

Https Www Canada Ca Content Dam Ircc Migration Ircc English Pdf Eta English Pdf

Letter Of Explanation Statement Of Purpose For Canada Visa Format And Sample Youtube

Letter Of Explanation Statement Of Purpose For Canada Visa Format And Sample Youtube

Cover Letter For Student Visa Application Germany December 2020

Cover Letter For Student Visa Application Germany December 2020

Canada Student Visa Statement Of Purpose Guidelines

Canada Student Visa Statement Of Purpose Guidelines

Kulasara 25 Elegant Invitation For Tourist Visa

Kulasara 25 Elegant Invitation For Tourist Visa

Visa Statement Of Purpose Canada Australia New Zealand Student Guide Visa Purpose

Visa Statement Of Purpose Canada Australia New Zealand Student Guide Visa Purpose

How Can I Get A Copy Of A Canadian Visa Refusal Letter Travel Stack Exchange

How Can I Get A Copy Of A Canadian Visa Refusal Letter Travel Stack Exchange

What To Do When Your Canadian Visa Application Is Rejected Canadian Immigration Podcast

What To Do When Your Canadian Visa Application Is Rejected Canadian Immigration Podcast

Cover Letter Samples Templates Examples Vault Com

Cover Letter Samples Templates Examples Vault Com

How To Apply For A Spouse Partner Work Permit From Within Canada Student Services

How To Apply For A Spouse Partner Work Permit From Within Canada Student Services

Sponsorship Letter For Schengen Visa Sample Letter From Sponsor Visa Reservation

Sponsorship Letter For Schengen Visa Sample Letter From Sponsor Visa Reservation

Free Invitation Letter For Visa 2020 Visa Guide

Free Invitation Letter For Visa 2020 Visa Guide

How To Write Letter Of Explanation For Canada Student Visa Youtube

How To Write Letter Of Explanation For Canada Student Visa Youtube

Sample Sop For Canada Study Visa Study In Canada

Sample Sop For Canada Study Visa Study In Canada

Canada Immigration Invitation Letter Visit Visa Canada Sample

Canada Immigration Invitation Letter Visit Visa Canada Sample

Visa Statement Of Purpose Canada Australia New Zealand

Visa Statement Of Purpose Canada Australia New Zealand

International Couples Face Immigration Processing Delays Canada Immigration News

International Couples Face Immigration Processing Delays Canada Immigration News

Can Anyone Help Me With A Sample Letter Of Explanation For A Student Visa In Canada Quora

Can Anyone Help Me With A Sample Letter Of Explanation For A Student Visa In Canada Quora

Letter Of Explanation Canada Student Visa Youtube

Letter Of Explanation Canada Student Visa Youtube

How To Write A Visa Cover Letter Student Long Stay Youtube

How To Write A Visa Cover Letter Student Long Stay Youtube

3

3

Random Posts

  • Sample Letter For Quotation Proposal
  • Sample Letter Of Expressing Gratitude
  • Sample Complaint Letter Restaurant Bad Service
  • Sample Letter For Request Documents
  • Customer Complaint Letter Example For Bad Product Tagalog