Sample Letter To Withdraw Visa Application

Australia Pr Processing Time 8 To 9 Month 189 190 Visa Australia

Australia Pr Processing Time 8 To 9 Month 189 190 Visa Australia

Https Encrypted Tbn0 Gstatic Com Images Q Tbn And9gcrwypyhlzbnzqjqvegtaniyiavxvops9cwbo1bide0p31oejcvq Usqp Cau

Https Encrypted Tbn0 Gstatic Com Images Q Tbn And9gcrwypyhlzbnzqjqvegtaniyiavxvops9cwbo1bide0p31oejcvq Usqp Cau

Australia S Visa Subclass 190 State Nominated Explained How Visa Letter Sample

Australia S Visa Subclass 190 State Nominated Explained How Visa Letter Sample

Sample I 485 Cover Letter For Adjustment Of Status Citizenpath

Sample I 485 Cover Letter For Adjustment Of Status Citizenpath

Cover Letter Tourist Visa Application

Cover Letter Tourist Visa Application

25 Best Format For Resignation Withdrawal Letter

25 Best Format For Resignation Withdrawal Letter

3

3

Free 32 Sample Letters In Pdf Ms Word Excel

Free 32 Sample Letters In Pdf Ms Word Excel

Withdrawal Of H1b Petition Sample Letter Paulbettis S Blog

Withdrawal Of H1b Petition Sample Letter Paulbettis S Blog

How Do I Withdraw The Form I 864 Affidavit Of Support Sound Immigration

How Do I Withdraw The Form I 864 Affidavit Of Support Sound Immigration

General Terms And Conditions Of Sale Of France Langue Schools

General Terms And Conditions Of Sale Of France Langue Schools

Medical Condition Part Time Authorization Or Withdrawal International Programs

Medical Condition Part Time Authorization Or Withdrawal International Programs

How To Withdraw H4 Application Sample Letter Uscis Confirmation Redbus2us

How To Withdraw H4 Application Sample Letter Uscis Confirmation Redbus2us

How To Withdraw H4 Application Sample Letter Uscis Confirmation Redbus2us

How To Withdraw H4 Application Sample Letter Uscis Confirmation Redbus2us

Philippines Visa Tourist Visa To Philippines Online At Rs 4 599 Musafir

Philippines Visa Tourist Visa To Philippines Online At Rs 4 599 Musafir

How To Make An Authorization Letter With Pictures Wikihow

How To Make An Authorization Letter With Pictures Wikihow

Russian Visa Invitation Visa Support In 5 Minutes Pdf Ready To Print Russia Support

Russian Visa Invitation Visa Support In 5 Minutes Pdf Ready To Print Russia Support

Why Us Visa Status On Ceac Says Refused For 221g 2020 Redbus2us

Why Us Visa Status On Ceac Says Refused For 221g 2020 Redbus2us

Cover Letter Tourist Visa Application

Cover Letter Tourist Visa Application

Application Letter Sample College Application Withdrawal Letter Sample

Application Letter Sample College Application Withdrawal Letter Sample

Sample Letter To Withdraw Visa Application Msrblog

Sample Letter To Withdraw Visa Application Msrblog

I 129f Fiance Visa Case Proper Steps To Cancel Or Withdraw Petition Visa Tutor

I 129f Fiance Visa Case Proper Steps To Cancel Or Withdraw Petition Visa Tutor

Free 47 Sample Employment Letter Templates In Pdf Ms Word

Free 47 Sample Employment Letter Templates In Pdf Ms Word

Job Request Letter To Minister Letter

Job Request Letter To Minister Letter

46 Free Authorization Letter Samples Templates Free Template Downloads

46 Free Authorization Letter Samples Templates Free Template Downloads

Latter 25 Luxury Visa Request Letter

Latter 25 Luxury Visa Request Letter

Essays On Knowledge Management Strategies In New Smartech Academic Seek Student Support Specialist Brooklyn New York

Essays On Knowledge Management Strategies In New Smartech Academic Seek Student Support Specialist Brooklyn New York

Russian Visa Invitation Visa Support In 5 Minutes Pdf Ready To Print Russia Support

Russian Visa Invitation Visa Support In 5 Minutes Pdf Ready To Print Russia Support

11 Free Sample Authorization Letters Best Office Files

11 Free Sample Authorization Letters Best Office Files

Withdrawing Your Visa Application Why

Withdrawing Your Visa Application Why

Writing A Letter To Support A Visa Application With Sample

Writing A Letter To Support A Visa Application With Sample

How To Open A Bank Account With Sabb Bank Online Life In Saudi Arabia

How To Open A Bank Account With Sabb Bank Online Life In Saudi Arabia

Apply For A U S Visa Bank And Payment Options Pay My Visa Fee Saudi Arabia English

Apply For A U S Visa Bank And Payment Options Pay My Visa Fee Saudi Arabia English

Group Applications Immigration New Zealand

Group Applications Immigration New Zealand

Appeals In Canadian Immigration Law

Appeals In Canadian Immigration Law

Visa Withdrawal Letter Request Letter Format Letter And Format Sponsorship Letter Australian Visa Sponsorship Letter Support Letter Letter Sample

Visa Withdrawal Letter Request Letter Format Letter And Format Sponsorship Letter Australian Visa Sponsorship Letter Support Letter Letter Sample

How To Withdraw H4 Application Sample Letter Uscis Confirmation Redbus2us

How To Withdraw H4 Application Sample Letter Uscis Confirmation Redbus2us

Business Visa Invitation Letter Sle Pdf 28 Images Business Invitation Letter Sle Pdf 4k Wallpapers Application Letter For Business Visa 28 Images Business Letter Template For Visa 28 Images China

Business Visa Invitation Letter Sle Pdf 28 Images Business Invitation Letter Sle Pdf 4k Wallpapers Application Letter For Business Visa 28 Images Business Letter Template For Visa 28 Images China

Obtain Schengen Business Visa Through Lithuania Recommended

Obtain Schengen Business Visa Through Lithuania Recommended

Uk Tourist Visa Requirements And Application Procedure Visa Traveler

Uk Tourist Visa Requirements And Application Procedure Visa Traveler

How To Open A Bank Account With Sabb Bank Online Life In Saudi Arabia

How To Open A Bank Account With Sabb Bank Online Life In Saudi Arabia

Kulasara 25 Elegant Invitation Letter For Visitor Visa To Consulate

Kulasara 25 Elegant Invitation Letter For Visitor Visa To Consulate

13 Sample Cancellation Letters Writing Letters Formats Examples

13 Sample Cancellation Letters Writing Letters Formats Examples

Https Encrypted Tbn0 Gstatic Com Images Q Tbn And9gcruf5d1wawj Rsodwzd3idzs Jk4evjdm0lel Lidi3w3 3p7ji Usqp Cau

Https Encrypted Tbn0 Gstatic Com Images Q Tbn And9gcruf5d1wawj Rsodwzd3idzs Jk4evjdm0lel Lidi3w3 3p7ji Usqp Cau

Letter Of Representation Sample Attorney Beautiful Sample Legal Representation Letter Wemaketotem In 2020 Lettering Legal Letter Certificate Of Participation Template

Letter Of Representation Sample Attorney Beautiful Sample Legal Representation Letter Wemaketotem In 2020 Lettering Legal Letter Certificate Of Participation Template

How To Make An Authorization Letter With Pictures Wikihow

How To Make An Authorization Letter With Pictures Wikihow

Faq France Visas Gouv Fr

Faq France Visas Gouv Fr

Application Letter For Withdrawal From School Letter Of Withdrawal From School

Application Letter For Withdrawal From School Letter Of Withdrawal From School

How To Make An Authorization Letter With Pictures Wikihow

How To Make An Authorization Letter With Pictures Wikihow

Final Exit In Saudi Arabia

Final Exit In Saudi Arabia

Kulasara 25 Images How To Write A Letter To Embassy For Visa Status

Kulasara 25 Images How To Write A Letter To Embassy For Visa Status

Uscis Sample Application Withdrawal Letter Use App Usa

Uscis Sample Application Withdrawal Letter Use App Usa

Letter Spouse Visa Cover Letter Sample

Letter Spouse Visa Cover Letter Sample

College Application Withdrawal Letter Templates At Allbusinesstemplates Com

College Application Withdrawal Letter Templates At Allbusinesstemplates Com

Bank Certificate Vs Bank Statement What S The Difference Which Is Needed For Visa Application The Poor Traveler Itinerary Blog

Bank Certificate Vs Bank Statement What S The Difference Which Is Needed For Visa Application The Poor Traveler Itinerary Blog

Annotated Bibliography About Depression How To Write Invitation Letter For Visa Application

Annotated Bibliography About Depression How To Write Invitation Letter For Visa Application

1

1

How To Open A Bank Account With Sabb Bank Online Life In Saudi Arabia

How To Open A Bank Account With Sabb Bank Online Life In Saudi Arabia

Tra Outcome Letter

Tra Outcome Letter

Sample Application Letter School Transfer Certificate Free Photos

Sample Application Letter School Transfer Certificate Free Photos

Invitation Letter For Visa In Australia Australia Forums I Need Invitation Letter Hi There Sample Invitation Visa Withdrawal Letter Request Letter Format Letter And Emailvisa Invitation Letter To A Friend Example Application

Invitation Letter For Visa In Australia Australia Forums I Need Invitation Letter Hi There Sample Invitation Visa Withdrawal Letter Request Letter Format Letter And Emailvisa Invitation Letter To A Friend Example Application

Letter Visa Cover Letter Sample

Letter Visa Cover Letter Sample

Debs 2018 At The University Of Waikato Nz

Debs 2018 At The University Of Waikato Nz

Visa Grant Evidence Visa Letter Sample

Visa Grant Evidence Visa Letter Sample

Interview Appointment Letter 15 Samples Formats

Interview Appointment Letter 15 Samples Formats

Get Our Sample Of Credit Card Cancellation Letter Template Lettering Letter Templates Free Letter Templates

Get Our Sample Of Credit Card Cancellation Letter Template Lettering Letter Templates Free Letter Templates

Visa Requirements G3 Visas Passports

Visa Requirements G3 Visas Passports

Letter Visa Cover Letter Sample

Letter Visa Cover Letter Sample

Application Letter Sample College Application Withdrawal Letter Sample

Application Letter Sample College Application Withdrawal Letter Sample

Sample Authorization Letter To Bank Templates With Example

Sample Authorization Letter To Bank Templates With Example

Sample Letter To Cancel Visa Application Msrblog

Sample Letter To Cancel Visa Application Msrblog

How To Apply Family Visit Visa In Saudi Arabia In 2020 Life In Saudi Arabia

How To Apply Family Visit Visa In Saudi Arabia In 2020 Life In Saudi Arabia

Nigeria Passport Re Issue Processes At Nigeria Embassy Stockholm Sw

Nigeria Passport Re Issue Processes At Nigeria Embassy Stockholm Sw

I 129f Fiance Visa Case Proper Steps To Cancel Or Withdraw Petition Visa Tutor

I 129f Fiance Visa Case Proper Steps To Cancel Or Withdraw Petition Visa Tutor

Application Letter Sample College Application Withdrawal Letter Sample

Application Letter Sample College Application Withdrawal Letter Sample

How To Make An Authorization Letter With Pictures Wikihow

How To Make An Authorization Letter With Pictures Wikihow

I 129f Fiance Visa Case Proper Steps To Cancel Or Withdraw Petition Visa Tutor

I 129f Fiance Visa Case Proper Steps To Cancel Or Withdraw Petition Visa Tutor

How To Make An Authorization Letter With Pictures Wikihow

How To Make An Authorization Letter With Pictures Wikihow

How To Get An Invitation Letter Pu Letter In China Baseinshanghai

How To Get An Invitation Letter Pu Letter In China Baseinshanghai

Letter Visa Cover Letter Sample

Letter Visa Cover Letter Sample

Sample Letter To Immigration Officer Fresh Health Forms Documents And Templates Canada In 2020 Lettering Business Template Letter Templates

Sample Letter To Immigration Officer Fresh Health Forms Documents And Templates Canada In 2020 Lettering Business Template Letter Templates

Hameedullah Sc Hameedullahsc On Pinterest

Hameedullah Sc Hameedullahsc On Pinterest

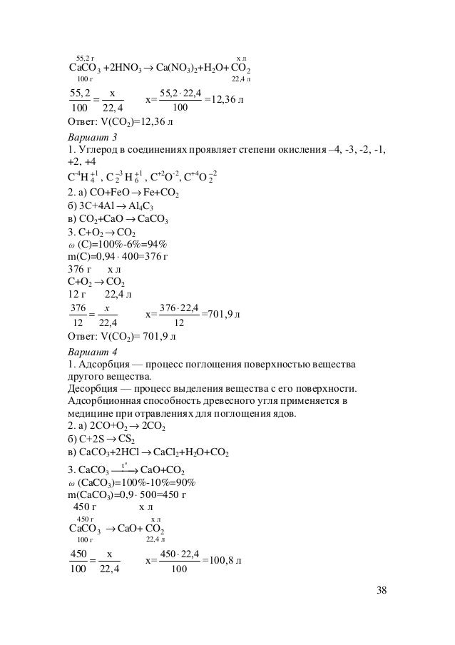
Reshebnik Po Himii 8 9 Klass K Didakticheskim Radeckogo

Reshebnik Po Himii 8 9 Klass K Didakticheskim Radeckogo

Credit Card Authorization Letter Template Elegant Authorization Letter Format For Credit Card In 2020 Lettering Letter Templates Free Letter Templates

Credit Card Authorization Letter Template Elegant Authorization Letter Format For Credit Card In 2020 Lettering Letter Templates Free Letter Templates

Board Resolution Letter Sample For Removal Of Authorised Free Photos

Board Resolution Letter Sample For Removal Of Authorised Free Photos

How To Transfer Iqama Sponsorship In 2020 Life In Saudi Arabia

How To Transfer Iqama Sponsorship In 2020 Life In Saudi Arabia

Withdraw Application Letter Example Letter Samples Templates

Withdraw Application Letter Example Letter Samples Templates

Sample Letter For Job Application Withdrawal Withdraw Application Letter

Sample Letter For Job Application Withdrawal Withdraw Application Letter

37 Free Authorization Letter Samples And Templates

37 Free Authorization Letter Samples And Templates

Withdrawal Letter Request Format And Emailvisa Official Invitation Visit Thilawa Sez Project Business Invitation Application Cover Letter Cover Letter Template

Withdrawal Letter Request Format And Emailvisa Official Invitation Visit Thilawa Sez Project Business Invitation Application Cover Letter Cover Letter Template

Apply For A U S Visa Bank And Payment Options Pay My Visa Fee Saudi Arabia English

Apply For A U S Visa Bank And Payment Options Pay My Visa Fee Saudi Arabia English

How To Withdraw I 864 Affidavit Of Support And Avoid Being Sued

How To Withdraw I 864 Affidavit Of Support And Avoid Being Sued

Letter Visa Cover Letter Sample

Letter Visa Cover Letter Sample

Resume Cover Letter Template Examples Cover Letters Free Sample Letter And Cover Letter Cover Letter For Resume Job Cover Letter Resume Cover Letter Template

Resume Cover Letter Template Examples Cover Letters Free Sample Letter And Cover Letter Cover Letter For Resume Job Cover Letter Resume Cover Letter Template

How To Write A Invitation Letter For Visa Purposes

How To Write A Invitation Letter For Visa Purposes

Group Applications Immigration New Zealand

Group Applications Immigration New Zealand

Visa Withdrawal Letter Request Letter Format Letter And Emailvisa Invitation Letter To A Friend Example Application Letter Sample Pinterest Interiors And D

Visa Withdrawal Letter Request Letter Format Letter And Emailvisa Invitation Letter To A Friend Example Application Letter Sample Pinterest Interiors And D

Sample Letters Withdrawing A Job Application

Sample Letters Withdrawing A Job Application

Authorization Letter Sample Proxy Template Check Bank Account Balance Cover Lettering Letter Sample Letter Form

Authorization Letter Sample Proxy Template Check Bank Account Balance Cover Lettering Letter Sample Letter Form

I 129f Fiance Visa Case Proper Steps To Cancel Or Withdraw Petition Visa Tutor

I 129f Fiance Visa Case Proper Steps To Cancel Or Withdraw Petition Visa Tutor

Sample 221 G H1b Visa Denial Refusal Letter From Us Consulate India Redbus2us

Sample 221 G H1b Visa Denial Refusal Letter From Us Consulate India Redbus2us

Letter Spouse Visa Cover Letter Sample

Letter Spouse Visa Cover Letter Sample

Free 47 Sample Employment Letter Templates In Pdf Ms Word

Free 47 Sample Employment Letter Templates In Pdf Ms Word

Withdrawal Of Resignation Letter

Withdrawal Of Resignation Letter

Random Posts

  • Sample Letter Of Declining Job Offer
  • Boy Scout Eagle Scout Letter Of Recommendation Sample From Parents
  • Job Transfer Letter Sample
  • Sample Business Letterhead With Logo
  • Sample Letter To End Contract Of Employment